8.1 Conflict Monitoring#

Humans are motivationally omnivorous – from wanting to catch a fish to wanting to walk on the moon. Accomplishing open-ended goals that can span days to lifetimes requires … did you just get an email notification? Go ahead, check your phone, this notebook is very patient… now you’re back … requires a cognitive architecture capable of overcoming interruptions, sustaining effort, and controlling attention. These abilities comprise the will of free will.

Around the start of the semester, you freely decided to learn about computational modeling of psychological function, and for the most part have willfully followed through. At times it has been effortless – when you were captivated by fascinating discoveries, theories, and models. At other times it has been effortful – requiring you to suppress a wide variety of distractions and competing interests. During those effortful moments, when you succeeded in maintaining or regaining focus on the lectures, readings, or lab work, what was happening in your mind? In this lab, we will explore the cognitive processes that monitor for internal conflict and help overcome that conflict. When effort is required to help control attention, mechanisms that monitor conflict can activate effort and control. For a familiar starting point, we will build a conflict monitoring system on top of a Stroop model introduced in the last chapter (see 7).

Setup and Installation:

%%capture
%pip install psyneulink
%pip install stroop

import time
import numpy as np
import psyneulink as pnl

from stroop.stimulus import get_stimulus_set, TASKS, COLORS, CONDITIONS

import matplotlib.pyplot as plt
from matplotlib.lines import Line2D

np.random.seed(0)
# constants
experiment_info = f"""
stroop experiment info
- all colors:\t {COLORS}
- all words:\t {COLORS}
- all tasks:\t {TASKS}
- all conditions:{CONDITIONS}
"""
print(experiment_info)

# calculate experiment metadata
n_conditions = len(CONDITIONS)
n_tasks = len(TASKS)
n_colors = len(COLORS)

# OTHER CONSTANTS
N_UNITS = 2
stroop experiment info
- all colors:	 ['red', 'green']
- all words:	 ['red', 'green']
- all tasks:	 ['color naming', 'word reading']
- all conditions:['control', 'conflict', 'congruent']

Setup#

The Stroop Model#

Here we define a function that creates a model of the Stroop task. This is the same model as we created in the previous tutorial (see, 7.2)

def get_stroop_model(
        unit_noise_std=.01,
        dec_noise_std=.1,
        integration_rate=.2,
        leak=0,
        competition=1
):
    # model params
    hidden_func = pnl.Logistic(gain=1.0, x_0=4.0)

    # input layer, color and word
    inp_clr = pnl.TransferMechanism(
        default_variable=[0, 0], function=pnl.Linear, name='COLOR INPUT'
    )
    inp_wrd = pnl.TransferMechanism(
        default_variable=[0, 0], function=pnl.Linear, name='WORD INPUT'
    )
    # task layer, represent the task instruction; color naming / word reading
    inp_task = pnl.TransferMechanism(
        default_variable=[0, 0], function=pnl.Linear, name='TASK'
    )
    # hidden layer for color and word
    hid_clr = pnl.TransferMechanism(
        default_variable=[0, 0],
        function=hidden_func,
        integrator_mode=True,
        integration_rate=integration_rate,
        noise=pnl.NormalDist(standard_deviation=unit_noise_std).function,
        name='COLORS HIDDEN'
    )
    hid_wrd = pnl.TransferMechanism(
        default_variable=[0, 0],
        function=hidden_func,
        integrator_mode=True,
        integration_rate=integration_rate,
        noise=pnl.NormalDist(standard_deviation=unit_noise_std).function,
        name='WORDS HIDDEN'
    )
    # output layer
    output = pnl.TransferMechanism(
        default_variable=[0, 0],
        function=pnl.Logistic,
        integrator_mode=True,
        integration_rate=integration_rate,
        noise=pnl.NormalDist(standard_deviation=unit_noise_std).function,
        name='OUTPUT'
    )
    # decision layer, some accumulator
    decision = pnl.LCAMechanism(
        default_variable=[0, 0],
        leak=leak, competition=competition,
        noise=pnl.UniformToNormalDist(
            standard_deviation=dec_noise_std).function,
        name='DECISION'
    )
    # PROJECTIONS, weights copied from cohen et al (1990)
    wts_clr_ih = pnl.MappingProjection(
        matrix=[[2.2, -2.2], [-2.2, 2.2]], name='COLOR INPUT TO HIDDEN')
    wts_wrd_ih = pnl.MappingProjection(
        matrix=[[2.6, -2.6], [-2.6, 2.6]], name='WORD INPUT TO HIDDEN')
    wts_clr_ho = pnl.MappingProjection(
        matrix=[[1.3, -1.3], [-1.3, 1.3]], name='COLOR HIDDEN TO OUTPUT')
    wts_wrd_ho = pnl.MappingProjection(
        matrix=[[2.5, -2.5], [-2.5, 2.5]], name='WORD HIDDEN TO OUTPUT')
    wts_tc = pnl.MappingProjection(
        matrix=[[4.0, 4.0], [0, 0]], name='COLOR NAMING')
    wts_tw = pnl.MappingProjection(
        matrix=[[0, 0], [4.0, 4.0]], name='WORD READING')
    # build the model
    model = pnl.Composition(name='STROOP model')
    model.add_linear_processing_pathway([inp_clr, wts_clr_ih, hid_clr])
    model.add_linear_processing_pathway([inp_wrd, wts_wrd_ih, hid_wrd])
    model.add_linear_processing_pathway([hid_clr, wts_clr_ho, output])
    model.add_linear_processing_pathway([hid_wrd, wts_wrd_ho, output])
    model.add_linear_processing_pathway([inp_task, wts_tc, hid_clr])
    model.add_linear_processing_pathway([inp_task, wts_tw, hid_wrd])
    model.add_linear_processing_pathway([output, pnl.IDENTITY_MATRIX, decision])
    # collect the node handles
    nodes = [inp_clr, inp_wrd, inp_task, hid_clr, hid_wrd, output, decision]
    metadata = [integration_rate, dec_noise_std, unit_noise_std]
    return model, nodes, metadata

Let’s create a model with no noise and plot the model graph.

# turn off noise
unit_noise_std = 0
dec_noise_std = 0

# define the model
model, nodes, model_params = get_stroop_model(unit_noise_std, dec_noise_std)

# fetch the params
[integration_rate, dec_noise_std, unit_noise_std] = model_params
[inp_color, inp_word, inp_task, hid_color, hid_word, output, decision] = nodes

Show the graph:

model.show_graph(output_fmt = 'jupyter')
---------------------------------------------------------------------------
FileNotFoundError                         Traceback (most recent call last)
File /opt/hostedtoolcache/Python/3.11.14/x64/lib/python3.11/site-packages/graphviz/backend/execute.py:76, in run_check(cmd, input_lines, encoding, quiet, **kwargs)
     75         kwargs['stdout'] = kwargs['stderr'] = subprocess.PIPE
---> 76     proc = _run_input_lines(cmd, input_lines, kwargs=kwargs)
     77 else:

File /opt/hostedtoolcache/Python/3.11.14/x64/lib/python3.11/site-packages/graphviz/backend/execute.py:96, in _run_input_lines(cmd, input_lines, kwargs)
     95 def _run_input_lines(cmd, input_lines, *, kwargs):
---> 96     popen = subprocess.Popen(cmd, stdin=subprocess.PIPE, **kwargs)
     98     stdin_write = popen.stdin.write

File /opt/hostedtoolcache/Python/3.11.14/x64/lib/python3.11/subprocess.py:1026, in Popen.__init__(self, args, bufsize, executable, stdin, stdout, stderr, preexec_fn, close_fds, shell, cwd, env, universal_newlines, startupinfo, creationflags, restore_signals, start_new_session, pass_fds, user, group, extra_groups, encoding, errors, text, umask, pipesize, process_group)
   1023             self.stderr = io.TextIOWrapper(self.stderr,
   1024                     encoding=encoding, errors=errors)
-> 1026     self._execute_child(args, executable, preexec_fn, close_fds,
   1027                         pass_fds, cwd, env,
   1028                         startupinfo, creationflags, shell,
   1029                         p2cread, p2cwrite,
   1030                         c2pread, c2pwrite,
   1031                         errread, errwrite,
   1032                         restore_signals,
   1033                         gid, gids, uid, umask,
   1034                         start_new_session, process_group)
   1035 except:
   1036     # Cleanup if the child failed starting.

File /opt/hostedtoolcache/Python/3.11.14/x64/lib/python3.11/subprocess.py:1955, in Popen._execute_child(self, args, executable, preexec_fn, close_fds, pass_fds, cwd, env, startupinfo, creationflags, shell, p2cread, p2cwrite, c2pread, c2pwrite, errread, errwrite, restore_signals, gid, gids, uid, umask, start_new_session, process_group)
   1954 if err_filename is not None:
-> 1955     raise child_exception_type(errno_num, err_msg, err_filename)
   1956 else:

FileNotFoundError: [Errno 2] No such file or directory: PosixPath('dot')

The above exception was the direct cause of the following exception:

ExecutableNotFound                        Traceback (most recent call last)
File /opt/hostedtoolcache/Python/3.11.14/x64/lib/python3.11/site-packages/IPython/core/formatters.py:1036, in MimeBundleFormatter.__call__(self, obj, include, exclude)
   1033     method = get_real_method(obj, self.print_method)
   1035     if method is not None:
-> 1036         return method(include=include, exclude=exclude)
   1037     return None
   1038 else:

File /opt/hostedtoolcache/Python/3.11.14/x64/lib/python3.11/site-packages/graphviz/jupyter_integration.py:98, in JupyterIntegration._repr_mimebundle_(self, include, exclude, **_)
     96 include = set(include) if include is not None else {self._jupyter_mimetype}
     97 include -= set(exclude or [])
---> 98 return {mimetype: getattr(self, method_name)()
     99         for mimetype, method_name in MIME_TYPES.items()
    100         if mimetype in include}

File /opt/hostedtoolcache/Python/3.11.14/x64/lib/python3.11/site-packages/graphviz/jupyter_integration.py:98, in <dictcomp>(.0)
     96 include = set(include) if include is not None else {self._jupyter_mimetype}
     97 include -= set(exclude or [])
---> 98 return {mimetype: getattr(self, method_name)()
     99         for mimetype, method_name in MIME_TYPES.items()
    100         if mimetype in include}

File /opt/hostedtoolcache/Python/3.11.14/x64/lib/python3.11/site-packages/graphviz/jupyter_integration.py:112, in JupyterIntegration._repr_image_svg_xml(self)
    110 def _repr_image_svg_xml(self) -> str:
    111     """Return the rendered graph as SVG string."""
--> 112     return self.pipe(format='svg', encoding=SVG_ENCODING)

File /opt/hostedtoolcache/Python/3.11.14/x64/lib/python3.11/site-packages/graphviz/piping.py:104, in Pipe.pipe(self, format, renderer, formatter, neato_no_op, quiet, engine, encoding)
     55 def pipe(self,
     56          format: typing.Optional[str] = None,
     57          renderer: typing.Optional[str] = None,
   (...)     61          engine: typing.Optional[str] = None,
     62          encoding: typing.Optional[str] = None) -> typing.Union[bytes, str]:
     63     """Return the source piped through the Graphviz layout command.
     64 
     65     Args:
   (...)    102         '<?xml version='
    103     """
--> 104     return self._pipe_legacy(format,
    105                              renderer=renderer,
    106                              formatter=formatter,
    107                              neato_no_op=neato_no_op,
    108                              quiet=quiet,
    109                              engine=engine,
    110                              encoding=encoding)

File /opt/hostedtoolcache/Python/3.11.14/x64/lib/python3.11/site-packages/graphviz/_tools.py:185, in deprecate_positional_args.<locals>.decorator.<locals>.wrapper(*args, **kwargs)
    177     wanted = ', '.join(f'{name}={value!r}'
    178                        for name, value in deprecated.items())
    179     warnings.warn(f'The signature of {func_name} will be reduced'
    180                   f' to {supported_number} positional arg{s_}{qualification}'
    181                   f' {list(supported)}: pass {wanted} as keyword arg{s_}',
    182                   stacklevel=stacklevel,
    183                   category=category)
--> 185 return func(*args, **kwargs)

File /opt/hostedtoolcache/Python/3.11.14/x64/lib/python3.11/site-packages/graphviz/piping.py:121, in Pipe._pipe_legacy(self, format, renderer, formatter, neato_no_op, quiet, engine, encoding)
    112 @_tools.deprecate_positional_args(supported_number=1, ignore_arg='self')
    113 def _pipe_legacy(self,
    114                  format: typing.Optional[str] = None,
   (...)    119                  engine: typing.Optional[str] = None,
    120                  encoding: typing.Optional[str] = None) -> typing.Union[bytes, str]:
--> 121     return self._pipe_future(format,
    122                              renderer=renderer,
    123                              formatter=formatter,
    124                              neato_no_op=neato_no_op,
    125                              quiet=quiet,
    126                              engine=engine,
    127                              encoding=encoding)

File /opt/hostedtoolcache/Python/3.11.14/x64/lib/python3.11/site-packages/graphviz/piping.py:149, in Pipe._pipe_future(self, format, renderer, formatter, neato_no_op, quiet, engine, encoding)
    146 if encoding is not None:
    147     if codecs.lookup(encoding) is codecs.lookup(self.encoding):
    148         # common case: both stdin and stdout need the same encoding
--> 149         return self._pipe_lines_string(*args, encoding=encoding, **kwargs)
    150     try:
    151         raw = self._pipe_lines(*args, input_encoding=self.encoding, **kwargs)

File /opt/hostedtoolcache/Python/3.11.14/x64/lib/python3.11/site-packages/graphviz/backend/piping.py:212, in pipe_lines_string(engine, format, input_lines, encoding, renderer, formatter, neato_no_op, quiet)
    206 cmd = dot_command.command(engine, format,
    207                           renderer=renderer,
    208                           formatter=formatter,
    209                           neato_no_op=neato_no_op)
    210 kwargs = {'input_lines': input_lines, 'encoding': encoding}
--> 212 proc = execute.run_check(cmd, capture_output=True, quiet=quiet, **kwargs)
    213 return proc.stdout

File /opt/hostedtoolcache/Python/3.11.14/x64/lib/python3.11/site-packages/graphviz/backend/execute.py:81, in run_check(cmd, input_lines, encoding, quiet, **kwargs)
     79 except OSError as e:
     80     if e.errno == errno.ENOENT:
---> 81         raise ExecutableNotFound(cmd) from e
     82     raise
     84 if not quiet and proc.stderr:

ExecutableNotFound: failed to execute PosixPath('dot'), make sure the Graphviz executables are on your systems' PATH
<graphviz.graphs.Digraph at 0x7f6427728c10>

The Task Stimuli#

Again, we have two tasks:

  • color naming

  • word reading

… and three conditions:

  • control

  • conflict

  • congruent

# the length of the stimulus sequence
n_time_steps = 120
input_set = get_stimulus_set(inp_color, inp_word, inp_task, n_time_steps)

# show what's in the dictionary
for task in TASKS:
    print(f'{task}: {input_set[task].keys()}')
color naming: dict_keys(['control', 'conflict', 'congruent'])
word reading: dict_keys(['control', 'conflict', 'congruent'])
# show one stimuli sequence
task = 'color naming'
cond = 'conflict'
print(input_set[task][cond][inp_color].T)
[[1 1 1 1 1 1 1 1 1 1 1 1 1 1 1 1 1 1 1 1 1 1 1 1 1 1 1 1 1 1 1 1 1 1 1 1
  1 1 1 1 1 1 1 1 1 1 1 1 1 1 1 1 1 1 1 1 1 1 1 1 1 1 1 1 1 1 1 1 1 1 1 1
  1 1 1 1 1 1 1 1 1 1 1 1 1 1 1 1 1 1 1 1 1 1 1 1 1 1 1 1 1 1 1 1 1 1 1 1
  1 1 1 1 1 1 1 1 1 1 1 1]
 [0 0 0 0 0 0 0 0 0 0 0 0 0 0 0 0 0 0 0 0 0 0 0 0 0 0 0 0 0 0 0 0 0 0 0 0
  0 0 0 0 0 0 0 0 0 0 0 0 0 0 0 0 0 0 0 0 0 0 0 0 0 0 0 0 0 0 0 0 0 0 0 0
  0 0 0 0 0 0 0 0 0 0 0 0 0 0 0 0 0 0 0 0 0 0 0 0 0 0 0 0 0 0 0 0 0 0 0 0
  0 0 0 0 0 0 0 0 0 0 0 0]]

Run he model on all Task - Condition Combinations#

test the model on all CONDITIONS x TASKS combinations

# log the activities
hid_color.set_log_conditions('value')
hid_word.set_log_conditions('value')
output.set_log_conditions('value')

# run the model
execution_id = 0
for task in TASKS:
    for cond in CONDITIONS:
        print(f'Running {task} - {cond} ... ')
        model.run(
            context=execution_id,
            inputs=input_set[task][cond],
            num_trials=n_time_steps,
        )
        execution_id += 1
Running color naming - control ... 
Running color naming - conflict ... 
Running color naming - congruent ... 
Running word reading - control ... 
Running word reading - conflict ... 
Running word reading - congruent ... 

Here, we define a function that collects the logged activity for all trials …

def get_log_values(execution_ids_):
    """
    get logged activity, given a list/array of execution ids
    """
    # word hidden layer
    hw_acts = np.array([
        np.squeeze(hid_word.log.nparray_dictionary()[ei]['value'])
        for ei in execution_ids_
    ])
    # color hidden layer
    hc_acts = np.array([
        np.squeeze(hid_color.log.nparray_dictionary()[ei]['value'])
        for ei in execution_ids_
    ])
    out_acts = np.array([
        np.squeeze(hid_color.log.nparray_dictionary()[ei]['value'])
        for ei in execution_ids_
    ])
    dec_acts = np.array([
        np.squeeze(model.parameters.results.get(ei))
        for ei in execution_ids_
    ])
    return hw_acts, hc_acts, out_acts, dec_acts

… and collect the activity for all tasks x conditions

# collect the activity
ids = [ei for ei in range(execution_id)]
hw_acts, hc_acts, out_acts, dec_acts = get_log_values(ids)

print('activities: trial_id x n_time_steps x n_units')
print(f'word hidden: \t{np.shape(hw_acts)}')
print(f'color hidden: \t{np.shape(hc_acts)}')
print(f'output: \t{np.shape(out_acts)}')
print(f'decision acts: \t{np.shape(dec_acts)}')
activities: trial_id x n_time_steps x n_units
word hidden: 	(6, 120, 2)
color hidden: 	(6, 120, 2)
output: 	(6, 120, 2)
decision acts: 	(6, 120, 2)

Visualize Decision Activity#

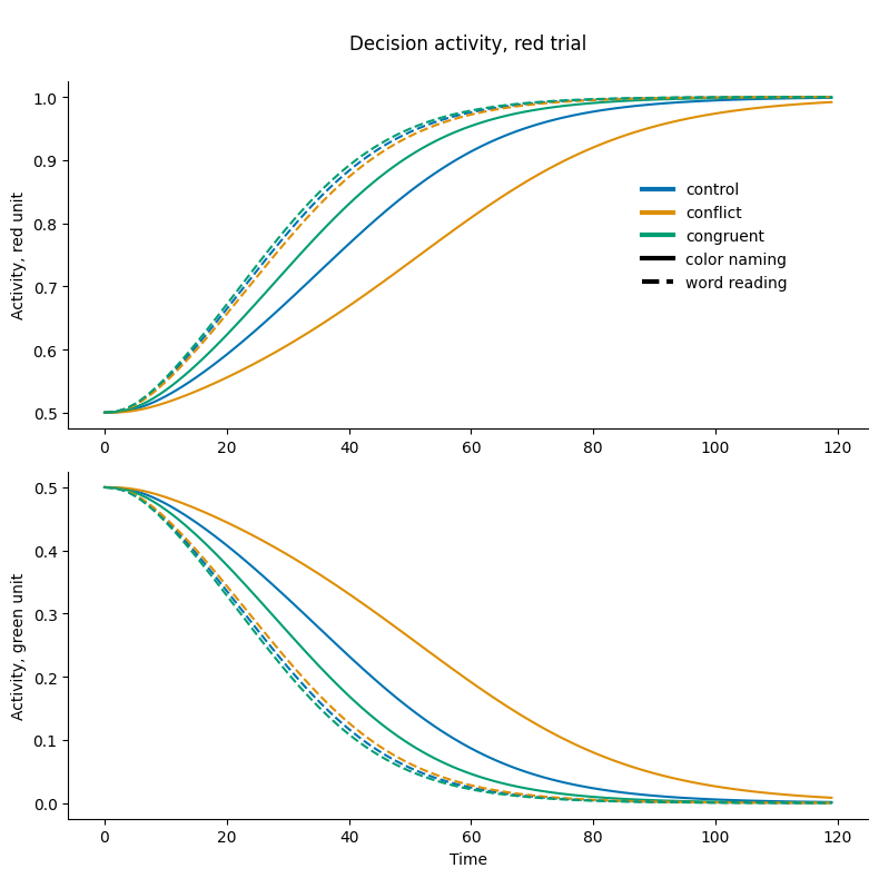
In this section, we will visualize the activity of the two decision units. For simplicity, the stimuli were intentionally chosen so that the correct response is always red (e.g. in a word naming - conflict trial, the word is red). Therefore, the activity for the red decision unit is always higher than the green decision unit. However, the difference between these two units depends on both task and condition.

🎯 Exercise 1: Setting Expectations

Before looking at the results, predict which task-condition combination will evoke the biggest differences between the two decision units? Explain your reasoning. Write your answer below.

✅ Solution

You can think about this as “easy” vs “hard” decisions. As further appart the activations are (the higher the difference), the easier the decision is. If — on the contrary — activity levels are more similar (the difference is low), the decision is harder.

For the word naming task, the activity is high for the red unit, since the word is red. The color unit is not very important here, since both the task demand unit “surpresses” the color unit and the weights from the color unit are lower anyways. So the word naming task doesn’t lead to conflict (the difference of activity will be high no matter what condition)

For the color naming task, the activity difference, the activity difference depends more on the condition:

congruent > control > conflict

Here, for more visually appealing plots,we are using seaborn for a colorpalette, so let’s install this here:

%%capture
%pip install seaborn
import seaborn as sns

We define a legend:

# define the set of colors
col_pal = sns.color_palette('colorblind', n_colors=3)
# define the set of line style
lsty_plt = ['-', '--']
# line width
lw_plt = 3

lgd_elements = []
# legend for all conditions
for i, cond in enumerate(CONDITIONS):
    lgd_elements.append(
        Line2D([0], [0], color=col_pal[i], lw=lw_plt, label=cond))

# legend for all tasks
for i, task in enumerate(TASKS):
    lgd_elements.append(
        Line2D([0], [0], color='black', lw=lw_plt, label=task,
               linestyle=lsty_plt[i])
    )

# show the legend
plt.legend(handles=lgd_elements, frameon=False)
<matplotlib.legend.Legend at 0x7f6425632190>
../../../../../_images/c7a438b4d2cc87eb1a007e8eaeaebc730aba8f4d08e64dd5bb3f5f5097774514.png

Plotting Response Unit Activity by Condition#

The cell below creates a plot of decision unit activity over time for 3 different trial types. For all trials, the ink color is red and the task is to respond to the ink color. Control trials have no word. Congruent trials display the word Red. And Incongruent trials display the word Green. In this figure, the top 3 lines show the Red Response Unit Activity, and these are higher because the stimulus is red ink and the task is to respond to the color of the ink. The bottom 3 lines show the Green Response Unit Activity.

For the incongruent color naming trial, the Red Response Unit is more active because the ink is red and the task is to respond to the ink color. However, the Green Response Unit (light blue line) is also somewhat active because the word is Green. The relatively small (smaller than any other task-condition) difference between these two units suggests that the Decision Energy should be higher for this trial.

"""plot the activity
"""

f, axes = plt.subplots(2, 1, figsize=(8, 8))
for j, task in enumerate(TASKS):
    for i, cond in enumerate(CONDITIONS):
        axes[0].plot(
            dec_acts[i + j*n_conditions][:, 0],
            color=col_pal[i], label=CONDITIONS[i], linestyle=lsty_plt[j],
        )
        axes[1].plot(
            dec_acts[i + j*n_conditions][:, 1],
            color=col_pal[i], linestyle=lsty_plt[j],
        )

title_text = """
Decision activity, red trial
"""
axes[0].set_title(title_text)
for i, ax in enumerate(axes):
    ax.set_ylabel(f'Activity, {COLORS[i]} unit')
axes[-1].set_xlabel('Time')
# add legend
axes[0].legend(
    handles=lgd_elements, frameon=False, bbox_to_anchor=(.7, .75)
)
f.tight_layout()
sns.despine()
../../../../../_images/2292b4bfded9c14fdbe5f4cea3f7e9d861d781863da0880aee2a6801142082a6.png

🎯 Exercise 2. Visualize the activity time course for the hidden layers on a green trial

2a. Plot the activity for the color hidden layer unit, for all tasks (color naming, word reading) x conditions (congruent, control, conflict). Interpret the results.

2b. Plot the activity for the word hidden layer unit, for all tasks x conditions. Interpret the results.

Visualize Decision Energy#

Energy is essentially the product of the two activation values. For example, if the activations are at 0.6 and 0.4, the energy would be 0.24; in comparison to 0.1 and 0.9 computing an energy of 0.09. This function is sensitive both to the total level of activation, and the differences between the units’ activations.

  • This is also implemented in psyneulink as pnl.ENERGY.

Plotting Decision Energy#

The following cell creates a plot of the decision energy for 3 types of trials: Control, Congruent, and Incongruent. When the levels of activity for the two response units (Red & Green) are close, the decision energy is higher. This makes sense because it is harder to decide when both responses are similarly active. The decision is easiest (and energy is lowest) when the there is a big difference between the two response units.

"""
plot dec energy
"""
data_plt = dec_acts
f, ax = plt.subplots(1, 1, figsize=(8, 4))
col_pal = sns.color_palette('colorblind', n_colors=3)
counter = 0
for tid, task in enumerate(TASKS):
    for cid, cond in enumerate(CONDITIONS):
        ax.plot(
            np.prod(data_plt[counter], axis=1),
            color=col_pal[np.mod(counter, n_conditions)],
            linestyle=lsty_plt[tid]
        )
        counter += 1

ax.set_title(f'Decision energy')
ax.set_ylabel('Energy')
ax.set_xlabel('Time')
ax.legend(handles=lgd_elements, frameon=False, bbox_to_anchor=(.7, .95))
f.tight_layout()
sns.despine()
../../../../../_images/91628bd5d1d42e8cf8497760c690ce34ceb244a61b908c99da8794d20cc6ba59.png

🎯 Exercise 3: Energy, the initial state

Unpack what is being plotted by finding the equation used (e.g. in PNL documentation) and the input values to this calculation at the first time step. What is the initial value of decision energy? Comment on why this is an interesting quantity for this situation. (Hint: What happens to the energy if one of the activation values is 1? What about if they are both equal?)

Examine the effect of task demand#

Decision Energy as a Signal for Effort & Control#

The simple model we have built so far shows one type of signal that could be monitored and used as input to a mechanism of effort and control. For example, if Decision Energy is high, that could provide useful information that the task requires additional attention and/or effort.

In order to better understand the effects of modulating attention and/or effort in our models, it is helpful to explore exactly how these factors influence performance.

# re-initialize the model
model, nodes, model_params = get_stroop_model(unit_noise_std, dec_noise_std)
[inp_color, inp_word, inp_task, hid_color, hid_word, output, decision] = nodes

# the length of the stimulus sequence
n_time_steps = 120
demand_levels = np.round(np.linspace(0, 1, 6), decimals=1)
n_demand_levels = len(demand_levels)
input_sets = [
    get_stimulus_set(inp_color, inp_word, inp_task, n_time_steps, demand=d)
    for d in demand_levels
]

print(f'demand levels: {demand_levels}')
demand levels: [0.  0.2 0.4 0.6 0.8 1. ]
# run the model for all demand levels
execution_id = 0
for did, demand in enumerate(demand_levels):
    for task in TASKS:
        time_start = time.time() #records start time, to estimate our progress
        print(f'\nWith demand = {demand}, running {task}: ', end='')
        for cond in CONDITIONS:
            print(f'{cond} ', end='')
            model.run(
                context=execution_id,
                inputs=input_sets[did][task][cond],
                num_trials=n_time_steps,
            )
            execution_id += 1
        print(f'| Time = %.2f'%(time.time()-time_start), end='')
With demand = 0.0, running color naming: control 
conflict 
congruent 
| Time = 9.92
With demand = 0.0, running word reading: control 
conflict 
congruent 
| Time = 9.56
With demand = 0.2, running color naming: control 
conflict 
congruent 
| Time = 9.62
With demand = 0.2, running word reading: control 
---------------------------------------------------------------------------
TypeError                                 Traceback (most recent call last)
File /opt/hostedtoolcache/Python/3.11.14/x64/lib/python3.11/site-packages/psyneulink/core/components/component.py:3626, in Component._try_execute_param.<locals>.fill_recursively(arr, value, indices)
   3625 try:
-> 3626     arr[i] = fill_recursively(arr[i], value[i], new_indices)
   3627 except (IndexError, TypeError):

TypeError: 'method' object is not subscriptable

During handling of the above exception, another exception occurred:

TypeError                                 Traceback (most recent call last)
File /opt/hostedtoolcache/Python/3.11.14/x64/lib/python3.11/site-packages/psyneulink/core/components/component.py:3626, in Component._try_execute_param.<locals>.fill_recursively(arr, value, indices)
   3625 try:
-> 3626     arr[i] = fill_recursively(arr[i], value[i], new_indices)
   3627 except (IndexError, TypeError):

TypeError: 'method' object is not subscriptable

During handling of the above exception, another exception occurred:

KeyboardInterrupt                         Traceback (most recent call last)
Cell In[16], line 9
      7 for cond in CONDITIONS:
      8     print(f'{cond} ', end='')
----> 9     model.run(
     10         context=execution_id,
     11         inputs=input_sets[did][task][cond],
     12         num_trials=n_time_steps,
     13     )
     14     execution_id += 1
     15 print(f'| Time = %.2f'%(time.time()-time_start), end='')

File /opt/hostedtoolcache/Python/3.11.14/x64/lib/python3.11/site-packages/psyneulink/core/globals/context.py:747, in handle_external_context.<locals>.decorator.<locals>.wrapper(context, *args, **kwargs)
    744             pass
    746 try:
--> 747     return func(*args, context=context, **kwargs)
    748 except TypeError as e:
    749     # context parameter may be passed as a positional arg
    750     if (
    751         f"{func.__name__}() got multiple values for argument"
    752         not in str(e)
    753     ):

File /opt/hostedtoolcache/Python/3.11.14/x64/lib/python3.11/site-packages/psyneulink/core/compositions/composition.py:11808, in Composition.run(self, inputs, num_trials, initialize_cycle_values, reset_stateful_functions_to, reset_stateful_functions_when, skip_initialization, clamp_input, runtime_params, call_before_time_step, call_after_time_step, call_before_pass, call_after_pass, call_before_trial, call_after_trial, termination_processing, skip_analyze_graph, report_output, report_params, report_progress, report_simulations, report_to_devices, animate, log, scheduler, scheduling_mode, execution_mode, default_absolute_time_unit, context, base_context, **kwargs)
  11804     execution_stimuli = None
  11806 # execute processing, passing stimuli for this trial
  11807 # IMPLEMENTATION NOTE: for autodiff, the following executes the forward pass for a single input
> 11808 trial_output = self.execute(inputs=execution_stimuli,
  11809                             scheduler=scheduler,
  11810                             termination_processing=termination_processing,
  11811                             call_before_time_step=call_before_time_step,
  11812                             call_before_pass=call_before_pass,
  11813                             call_after_time_step=call_after_time_step,
  11814                             call_after_pass=call_after_pass,
  11815                             reset_stateful_functions_to=reset_stateful_functions_to,
  11816                             context=context,
  11817                             base_context=base_context,
  11818                             clamp_input=clamp_input,
  11819                             runtime_params=runtime_params,
  11820                             skip_initialization=True,
  11821                             execution_mode=execution_mode,
  11822                             report=report,
  11823                             report_num=report_num,
  11824                             **kwargs
  11825                             )
  11827 # ---------------------------------------------------------------------------------
  11828 # store the result of this execution in case it will be the final result
  11830 trial_output = copy_parameter_value(trial_output)

File /opt/hostedtoolcache/Python/3.11.14/x64/lib/python3.11/site-packages/psyneulink/core/globals/context.py:747, in handle_external_context.<locals>.decorator.<locals>.wrapper(context, *args, **kwargs)
    744             pass
    746 try:
--> 747     return func(*args, context=context, **kwargs)
    748 except TypeError as e:
    749     # context parameter may be passed as a positional arg
    750     if (
    751         f"{func.__name__}() got multiple values for argument"
    752         not in str(e)
    753     ):

File /opt/hostedtoolcache/Python/3.11.14/x64/lib/python3.11/site-packages/psyneulink/core/compositions/composition.py:12790, in Composition.execute(self, inputs, scheduler, termination_processing, call_before_time_step, call_before_pass, call_after_time_step, call_after_pass, reset_stateful_functions_to, context, base_context, clamp_input, runtime_params, skip_initialization, execution_mode, report_output, report_params, report_progress, report_simulations, report_to_devices, report, report_num, **kwargs)
  12788             for port in node.input_ports:
  12789                 port._update(context=context)
> 12790         node.execute(context=mech_context,
  12791                      report_num=report_num,
  12792                      runtime_params=execution_runtime_params,
  12793                      )
  12794         assert 'DEBUGGING BREAK POINT: NODE EXECUTION'
  12796 # Set execution_phase for node's context back to IDLE

File /opt/hostedtoolcache/Python/3.11.14/x64/lib/python3.11/site-packages/psyneulink/core/globals/context.py:747, in handle_external_context.<locals>.decorator.<locals>.wrapper(context, *args, **kwargs)
    744             pass
    746 try:
--> 747     return func(*args, context=context, **kwargs)
    748 except TypeError as e:
    749     # context parameter may be passed as a positional arg
    750     if (
    751         f"{func.__name__}() got multiple values for argument"
    752         not in str(e)
    753     ):

File /opt/hostedtoolcache/Python/3.11.14/x64/lib/python3.11/site-packages/psyneulink/core/components/mechanisms/mechanism.py:2570, in Mechanism_Base.execute(self, input, context, runtime_params, report_output, report_params, report_num)
   2563 self._update_parameter_ports(runtime_port_params[PARAMETER_PORT_PARAMS], context)
   2565 # EXECUTE MECHANISM BY CALLING SUBCLASS _execute method AND ASSIGN RESULT TO self.value
   2566 
   2567 # IMPLEMENTATION NOTE: use value as buffer variable until it has been fully processed
   2568 #                      to avoid multiple calls to (and potential log entries for) self.value property
-> 2570 value = self._execute(variable=variable,
   2571                       runtime_params=runtime_params,
   2572                       context=context)
   2574 # IMPLEMENTATION NOTE:  THIS IS HERE BECAUSE IF return_value IS A LIST, AND THE LENGTH OF ALL OF ITS
   2575 #                       ELEMENTS ALONG ALL DIMENSIONS ARE EQUAL (E.G., A 2X2 MATRIX PAIRED WITH AN
   2576 #                       ARRAY OF LENGTH 2), np.array (AS WELL AS np.atleast_2d) GENERATES A ValueError
   2577 if (isinstance(value, list) and
   2578     (all(isinstance(item, np.ndarray) for item in value) and
   2579         all(
   2580                 all(item.shape[i]==value[0].shape[0]
   2581                     for i in range(len(item.shape)))
   2582                 for item in value))):

File /opt/hostedtoolcache/Python/3.11.14/x64/lib/python3.11/site-packages/psyneulink/core/components/mechanisms/processing/transfermechanism.py:1733, in TransferMechanism._execute(self, variable, context, runtime_params)
   1730 """Execute TransferMechanism function and return transform of input"""
   1732 clip = self.parameters.clip._get(context)
-> 1733 value = super(Mechanism, self)._execute(variable=variable, context=context, runtime_params=runtime_params)
   1734 value = self._clip_result(clip, value)
   1736 return value

File /opt/hostedtoolcache/Python/3.11.14/x64/lib/python3.11/site-packages/psyneulink/core/components/component.py:3499, in Component._execute(self, variable, context, runtime_params, **kwargs)
   3494 # CALL FUNCTION if value is not specified
   3495 if value is None:
   3496     # IMPLEMENTATION NOTE:  **kwargs is included to accommodate required arguments
   3497     #                     that are specific to particular class of Functions
   3498     #                     (e.g., error_matrix for LearningMechanism and controller for EVCControlMechanism)
-> 3499     function_variable = self._parse_function_variable(variable, context=context)
   3500     # IMPLEMENTATION NOTE: Need to pass full runtime_params (and not just function's params) since
   3501     #                      Mechanisms with secondary functions (e.g., IntegratorMechanism) seem them
   3502     value = self.function(variable=function_variable, context=context, params=runtime_params, **kwargs)

File /opt/hostedtoolcache/Python/3.11.14/x64/lib/python3.11/site-packages/psyneulink/core/components/mechanisms/processing/transfermechanism.py:1776, in TransferMechanism._parse_function_variable(self, variable, context)
   1774 # Update according to time-scale of integration
   1775 if integrator_mode:
-> 1776     value = self.integrator_function.execute(variable, context=context)
   1777     self.parameters.integrator_function_value._set(value, context)
   1778     return value

File /opt/hostedtoolcache/Python/3.11.14/x64/lib/python3.11/site-packages/psyneulink/core/globals/context.py:747, in handle_external_context.<locals>.decorator.<locals>.wrapper(context, *args, **kwargs)
    744             pass
    746 try:
--> 747     return func(*args, context=context, **kwargs)
    748 except TypeError as e:
    749     # context parameter may be passed as a positional arg
    750     if (
    751         f"{func.__name__}() got multiple values for argument"
    752         not in str(e)
    753     ):

File /opt/hostedtoolcache/Python/3.11.14/x64/lib/python3.11/site-packages/psyneulink/core/components/component.py:3462, in Component.execute(self, variable, context, runtime_params)
   3459     if is_numeric(variable):
   3460         variable = convert_all_elements_to_np_array(variable)
-> 3462 value = self._execute(variable=variable, context=context, runtime_params=runtime_params)
   3463 self.parameters.value._set(value, context=context)
   3465 return value

File /opt/hostedtoolcache/Python/3.11.14/x64/lib/python3.11/site-packages/psyneulink/core/components/component.py:3502, in Component._execute(self, variable, context, runtime_params, **kwargs)
   3499 function_variable = self._parse_function_variable(variable, context=context)
   3500 # IMPLEMENTATION NOTE: Need to pass full runtime_params (and not just function's params) since
   3501 #                      Mechanisms with secondary functions (e.g., IntegratorMechanism) seem them
-> 3502 value = self.function(variable=function_variable, context=context, params=runtime_params, **kwargs)
   3503 try:
   3504     self.function.parameters.value._set(value, context)

File /opt/hostedtoolcache/Python/3.11.14/x64/lib/python3.11/site-packages/psyneulink/core/globals/context.py:747, in handle_external_context.<locals>.decorator.<locals>.wrapper(context, *args, **kwargs)
    744             pass
    746 try:
--> 747     return func(*args, context=context, **kwargs)
    748 except TypeError as e:
    749     # context parameter may be passed as a positional arg
    750     if (
    751         f"{func.__name__}() got multiple values for argument"
    752         not in str(e)
    753     ):

File /opt/hostedtoolcache/Python/3.11.14/x64/lib/python3.11/site-packages/psyneulink/core/components/functions/function.py:746, in Function_Base.function(self, variable, context, params, target_set, **kwargs)
    740 variable = self._check_args(variable=variable,
    741                             context=context,
    742                             params=params,
    743                             target_set=target_set,
    744                             )
    745 # Execute function
--> 746 value = self._function(
    747     variable=variable, context=context, params=params, **kwargs
    748 )
    749 self.most_recent_context = context
    750 self.parameters.value._set(value, context=context)

File /opt/hostedtoolcache/Python/3.11.14/x64/lib/python3.11/site-packages/psyneulink/core/components/functions/stateful/integratorfunctions.py:1222, in AdaptiveIntegrator._function(self, variable, context, params)
   1220 offset = self._get_current_parameter_value(OFFSET, context)
   1221 # execute noise if it is a function
-> 1222 noise = self._try_execute_param(self._get_current_parameter_value(NOISE, context), variable, context=context)
   1224 previous_value = self.parameters.previous_value._get(context)
   1226 try:

File /opt/hostedtoolcache/Python/3.11.14/x64/lib/python3.11/site-packages/psyneulink/core/components/component.py:3675, in Component._try_execute_param(self, param, var, context)
   3672     pass
   3674 param = try_extract_0d_array_item(param)
-> 3675 fill_recursively(var, param)
   3676 return var

File /opt/hostedtoolcache/Python/3.11.14/x64/lib/python3.11/site-packages/psyneulink/core/components/component.py:3628, in Component._try_execute_param.<locals>.fill_recursively(arr, value, indices)
   3626         arr[i] = fill_recursively(arr[i], value[i], new_indices)
   3627     except (IndexError, TypeError):
-> 3628         arr[i] = fill_recursively(arr[i], value, new_indices)
   3630 return arr

File /opt/hostedtoolcache/Python/3.11.14/x64/lib/python3.11/site-packages/psyneulink/core/components/component.py:3628, in Component._try_execute_param.<locals>.fill_recursively(arr, value, indices)
   3626         arr[i] = fill_recursively(arr[i], value[i], new_indices)
   3627     except (IndexError, TypeError):
-> 3628         arr[i] = fill_recursively(arr[i], value, new_indices)
   3630 return arr

File /opt/hostedtoolcache/Python/3.11.14/x64/lib/python3.11/site-packages/psyneulink/core/components/component.py:3603, in Component._try_execute_param.<locals>.fill_recursively(arr, value, indices)
   3600     is_scalar = True
   3602 if is_scalar:
-> 3603     return execute_if_callable(value, context)
   3605 try:
   3606     len_value = len(value)

File /opt/hostedtoolcache/Python/3.11.14/x64/lib/python3.11/site-packages/psyneulink/core/components/component.py:3589, in Component._try_execute_param.<locals>.execute_if_callable(value, context)
   3587 def execute_if_callable(value, context=None):
   3588     try:
-> 3589         return value(context=context)
   3590     except TypeError:
   3591         try:

File /opt/hostedtoolcache/Python/3.11.14/x64/lib/python3.11/site-packages/psyneulink/core/globals/context.py:747, in handle_external_context.<locals>.decorator.<locals>.wrapper(context, *args, **kwargs)
    744             pass
    746 try:
--> 747     return func(*args, context=context, **kwargs)
    748 except TypeError as e:
    749     # context parameter may be passed as a positional arg
    750     if (
    751         f"{func.__name__}() got multiple values for argument"
    752         not in str(e)
    753     ):

File /opt/hostedtoolcache/Python/3.11.14/x64/lib/python3.11/site-packages/psyneulink/core/components/functions/function.py:746, in Function_Base.function(self, variable, context, params, target_set, **kwargs)
    740 variable = self._check_args(variable=variable,
    741                             context=context,
    742                             params=params,
    743                             target_set=target_set,
    744                             )
    745 # Execute function
--> 746 value = self._function(
    747     variable=variable, context=context, params=params, **kwargs
    748 )
    749 self.most_recent_context = context
    750 self.parameters.value._set(value, context=context)

File /opt/hostedtoolcache/Python/3.11.14/x64/lib/python3.11/site-packages/psyneulink/core/components/functions/nonstateful/distributionfunctions.py:206, in NormalDist._function(self, variable, context, params)
    202 random_state = self._get_current_parameter_value("random_state", context)
    204 result = random_state.normal(mean, standard_deviation)
--> 206 return self.convert_output_type(result)

File /opt/hostedtoolcache/Python/3.11.14/x64/lib/python3.11/site-packages/psyneulink/core/components/functions/function.py:800, in Function_Base.convert_output_type(self, value, output_type)
    798 value = convert_all_elements_to_np_array(value)
    799 if output_type is None:
--> 800     if not self.enable_output_type_conversion or self.output_type is None:
    801         return value
    802     else:

File /opt/hostedtoolcache/Python/3.11.14/x64/lib/python3.11/site-packages/psyneulink/core/components/component.py:714, in make_parameter_property.<locals>.getter(self)
    713 def make_parameter_property(param):
--> 714     def getter(self):
    715         p = getattr(self.parameters, param.name)
    717         if p.port is not None:

KeyboardInterrupt: 
# collect the activity
ids = [ei for ei in range(execution_id)]

# get decision activities for all trials
dec_acts = np.array([
    np.squeeze(model.parameters.results.get(ei))
    for ei in ids
])
def compute_rt(act, threshold=.9):
    """compute reaction time
    take the activity of the decision layer...
    RT := the earliest time point when activity > threshold...
    """
    n_time_steps_, N_UNITS_ = np.shape(act)
    tps_pass_threshold = np.where(act[:, 0] > threshold)[0]
    if len(tps_pass_threshold) > 0:
        return tps_pass_threshold[0]
    return n_time_steps_
# re-organize RT data
threshold = .9
rts = np.zeros((n_demand_levels, n_tasks, n_conditions))
counter = 0
for did, demand in enumerate(demand_levels):
    for tid, task in enumerate(TASKS):
        for cid, cond in enumerate(CONDITIONS):
            rts[did, tid, cid] = compute_rt(
                dec_acts[counter], threshold=threshold
            )
            counter += 1

Plotting Task Demand & RT#

The two figures created by the following cell qualitatively replicate Fig 13A (left) and Fig 13B (right) from Cohen et al. (1990). The Y axis displays response time, and the X axis progresses upward in task demand unit activity. (Note that the key is consistent with previous figures in this notebook, but not all the conditions in the key are plotted.)

In the left panel we can see that Word reading (dashed black line) is generally faster than ink Color Naming (solid black line). The other prominent pattern is that increased activity in the task demand units leads to faster (lower) reaction times.

The right panel compares Word reading under conflict (green dashed) to control (blue dashed). It also displays part of the Color Naming plot under conflict (green solid). These figures are truncated at the top to zoom in on key comparisons, and the full data extend well above the top of the Y-axis.

These reaction times are in different units than human performance, but the overall trends make sense. We can potentially use Task Demand as a way to model Attention/Effort. Increasing attention to the task improves performance yielding faster reaction times.

# plot prep
col_pal = sns.color_palette('colorblind', n_colors=3)
xticklabels = ['%.1f' % (d) for d in demand_levels]

f, axes = plt.subplots(1, 2, figsize=(13, 5))
# left panel
axes[0].plot(np.mean(rts[:, 0, :], axis=1), color='black', linestyle='-')
axes[0].plot(np.mean(rts[:, 1, :], axis=1), color='black', linestyle='--')
axes[0].set_title('RT as a function of task demand')
# axes[0].legend(TASKS, frameon=False, bbox_to_anchor=(.4, 1))
axes[0].legend(handles=lgd_elements, frameon=False, bbox_to_anchor=(.7, .95))
# right panel
clf_id = 1
n_skips = 2
axes[1].plot(np.arange(n_skips, n_demand_levels, 1),
             rts[n_skips:, 0, clf_id], color=col_pal[clf_id],
             label='conflicting word')
axes[1].plot(rts[:, 1, clf_id], color=col_pal[clf_id],
             linestyle='--', label='conflicting color')
axes[1].plot(rts[:, 1, 0], color=col_pal[0], linestyle='--', label='control')
axes[1].set_title('Compared the two conflict conditions')
# axes[1].legend(frameon=False, bbox_to_anchor=(.55, 1))
# common
axes[0].set_ylabel('Reaction time (RT)')
axes[1].set_ylim(axes[0].get_ylim())
for ax in axes:
    ax.set_xticks(range(n_demand_levels))
    ax.set_xticklabels(xticklabels)
    ax.set_xlabel('Demand')
f.tight_layout()
sns.despine()

🎯 Exercise 4. Interpret the task demand results above

  • Compare the results above with human performance in Cohen et al. (1990) Figures 13A & 13B, and comment on a few interesting similarities and differences.

🎯 Exercise 5: Putting it all together

Note: Answers to this exercise can be qualitative and schematic – you do not need to build the models (although you can if you like!), just describe how you would initially reason and plan to build them.

5a. How should task demand unit activity impact accuracy?

5b. Concisely describe key elements of a model mimicking human performance that exhibits the appropriate influence of task demand activity on accuracy.

5c. Describe steps that you could take, based on the models provided in this notebook, to build a model that monitors for conflict within trials and increases attention when conflict is present.

5d. Describe steps that you could take to build a model that monitors for errors after trials and increases attention on the subsequent trial.